BIA: Consideraciones sobre los tiempos de recuperación #BusinessContinuity #DisasterRecovery
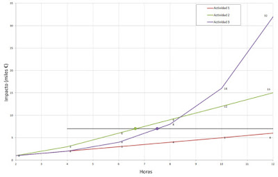
El especialista en seguridad de información y continuidad del negocio, Manuel Benet, escribió un par de post enfocados a aspectos clave del Análisis de Impacto al Negocio (BIA), específicamente sobre la determinación del tiempo de recuperación de las actividades críticas —aquel a partir del cual la interrupción de una actividad tiene un impacto grave para la continuidad del negocio—.La evolución de una actividad interrumpida vendrá determinada por dos características: una fase inicial en la que la relación se mantiene cercana a un modelo lineal, seguida de un modelo más similar a una curva exponencial que representa la aceleración del impacto, seguida por una fase final de estabilización. Este modelo corresponde a la curva logística.
Como primera conclusión, de acuerdo con Benet, "es de vital importancia conocer no sólo el punto crítico, sino en qué medida evoluciona un proceso o actividad tras una contingencia", lo que puede determinar el margen de error tolerable al determinar los tiempos (que están determinados por el impacto máximo tolerable) y la irreversibilidad del incidente una vez superado el tiempo límite de recuperación (sin que ésta se produzca).
![]() |
| Evolución del impacto de diferentes actividades en un horizonte de tiempo |
![]() |
| Ejemplo n.° 1 |
![]() |
| Ejemplo n.° 2 |
Fuentes:
Benet, M. (2012, junio). Continuidad de Negocio: Análisis de Impacto sobre el Negocio: tiempos (I)
. Security Art Work. Recuperado de http://www.securityartwork.es/2012/06/20/continuidad-de-negocio-analisis-de-impacto-sobre-el-negocio-tiempos-i/
Benet, M. (2012, junio). Continuidad de Negocio: Análisis de Impacto sobre el Negocio: tiempos (II)
. Security Art Work. Recuperado de http://www.securityartwork.es/2012/06/22/continuidad-de-negocio-analisis-de-impacto-sobre-el-negocio-tiempos-ii/



Comentarios
Publicar un comentario